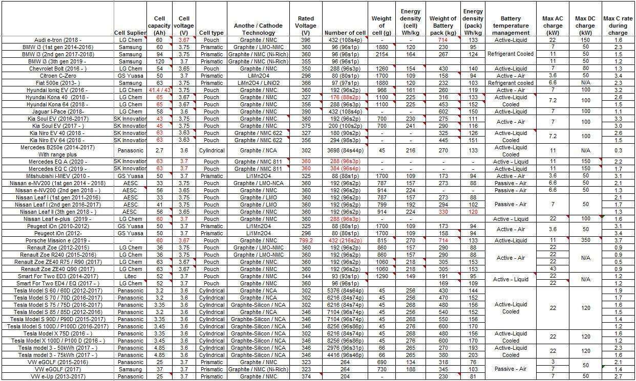
Technická špecifikácia baterií elektromobilov
Zložiť
1000,- € zľava na Model S, X
Zložiť

Objednajte si nový Model S, alebo Model X cez tento odkaz a získajte zľavu 1000 eur! Zároveň získate osobnú konzultáciu s majiteľom Tesly a zážitkovú jazdu na Tesle Model S P85D zadarmo (kdekoľvek na SK/CZ). Pre viac info nás kontaktujte.
teslaclub blog bok vrch detaily konverzacie
Zložiť
Tag Cloud
Zložiť
X
-
Tagy: -
-
Jiri GrandPa skvela praca, len by som upresnil, ze 120kW DC nabijanie zvladne len 100kWh bateria tesly za idealnych podmienok, 85/90 max niekde medzi 100 az 110kW, 75 zrejme medzi 90 az 100kW. 70 a 60 este menej.-
Ano, tiez som si to vsimol. Moja 75 kWh ma max 95 kW. -
Ja na mojej 85D mam tusim rekord 118-119kW, pre istotu (ci sa nemylim) som prebehol fotky co mam v mobile (sem tam si kvoli porovnaniu casu reality s abetterrouteplanner.com fotim situaciu) a najvacsi co som nasiel bol 114 kW (okolo 23% SOC), ale pamatam si aj vyssie hodnoty.
V aute mam ale realne bateriu z P85D, mam jednu z poslednych 85D a uz asi Tesla mala len P baterie (dalej sa uz dodavali len 90D), na fore nas bolo viac, co maju P bateriu (vidno to na stitku za pravym prednym kolesom). Verim, ze je o nieco lepsi ako standardny (predpokladam nizsi vnutorny odpor pre dodanie vacsieho prudu - vacsie C).
-
-
A taktiez pri Ioniq je max. DC nabijanie 66kW a pri Kona myslim, ze podobne. V parametroch auta je len uvedene, ze na 100kW CCS (ako nabijacke) trva nabitie 23 min. oproti 30 min. na 50kW CCS, nie ze auto nabija takou rychlostou.
A pri Nissane treba dat poznámku pod čiarou, že pri súhre kombinåcie viacerých faktorov s pravdepodobnosťou výhry v Niké po natipovaní 5 zápasov na jednom tikete nabīja tými 50 kW.[priezvisko]@me.comKomentár
-
Tu Bjorn hovori o roznych krivkach pre rozne Tesla baterieThe 90 kWh battery pack used to charge slightly slower than the 85 kWh. Last week I borrowed a Model S 90D facelift and noticed that it charged significantly...Komentár
-
Komentár
-
jux - to vazne tam je taky pokles vykonu okolo 50%? A suvisi to s cim? 75 kWh to nerobi, napriek tomu ze je vyrobena v Septembri 2016.
Vsimol som si, ze ked nabija Xko tak chladiace ventilatory su ovela, ovela hlucnejsie ako u mojho S. Suvisi to s nastupom chladiaceho efektu na clanky? -
Jiri GrandPa Len som sem dal graf od Bjorna, ani mne sa to nepaci, on to nejako vysvetluje vo videu. Chladenie pri nabijani zavisi nielen od nabijacieho vykonu, ale aj od teploty baterie s akou prislo auto na nabijacku, samozrejme aj od vonkajsej teploty, tiez od toho ci mas pustenu klimu alebo nie.
Tesla tiez zrejme meni postupom casu pre ine modely baterii nabijacie krivky, tiez znizuje nabijaci vykon pri castom nabijani na SC. Takze nejako exaktne sa nabijanie podla mna neda zhodnotit, lebo je na to prilis vela vplyvov. Uz to velmi nesledujem, radsej jazdim a nespekulujem uz tolko okolo toho ako zo zaciatku. -
To video je pomerne stare, je mozne, ze teraz je to znova mierne inak. Ten pokles suvisi isto s teplotou baterie, takze sa to moze spravat pri roznych teplotach rozdielne.
Realita je ta, ze nova chemia (90D, asi aj 75D a 100D) sa sprava rozdielne pri nizkom SOC. Pri 85D plati, ze cim nizsie SOC tym vyssi nabijaci vykon, nova chemia ide pri 0% SOC uplne pomaly, postupne zvysuje. Aj Bjorn neodporuca ist pod 6% SOC, pretoze to silno spomali nabijanie. Pre 85D plati, ze treba ist co najnizsie, vtedy je najvacsi nabijaci vykon.
-
-
Nasiel som len foto kde mam 114 kW, ale pamatam si, ze pri nizkom SOC sa to splhava az k 118/119 kW (typicky to pre mna bolo v Senj kde som maval okolo 6-8% a typicky som tam bol sam). Aj tato foto je zo Senj, vidno, ze som ju fotil, ked uz mi pribudlo 11kW, uplne na zaciatku to vzdy islo lepsie.
Auto mam vyrobene 1/2016, dodane 4/2016. Obdobie koniec 2015/2016 sa dodavali 90D old ako pise aj Bjorn, ktore mali vtedy nove zlozenie a zjavne boli problematicke (aj kvoli nabijaniu na zaciatku, ktore je nizke). Potom zmenili mierne chemiu, alebo nieco upravili, Bjorn to ma ako 90D new a tie su uz v pohode. Ja som preto bral 85D, pretoze uz v 10/2015 ked som auto objednaval tak na forach sa ludia na 90D stazovali.
1 BildKomentár
-
Dnes som nabijal na SC 40 az 90%. Zapisoval som nabijacie vykony. Priebeh poklesu nabijacieho vykonu je na obrazku.
Vonku bolo 32 stupnov, klima zapnuta na 24 stupnov.1 BildKomentár
-
Časový priebeh si náhodou nepísal? Alebo aspoň pre zaujímavosť koľko to trvalo? -
Tvar krivky by bol taky isty. Totiz ten udaj o nabijacom vykone IMHO neberie do uvahy, kolko realne z toho ide do baterie a kolko z toho si zoberu ine systemy auta. Ale ten vplyv je pri takychto vykonoch zanedbatelny. Pokial mas klimu pustenu kontinualne tak neberie viac ako 1-1.5 kW (a to predpokladam ze juks mal). -
ICE666SVK Ak je to pri DC nabijani rovnako ako pri AC, ked zobrazuje na displeji energiu co tecie do auta, nie energiu co tecie do baterie, potom ta krivka co som nameral neukazuje nabijaci vykon, ale tok energie do auta. Teda tok energie do baterie bude o niekolko kW mensi ako ukazuje displej.
Cize cast energie zobrazovanej na displeji ide do chladenia baterie, napajania systemov auta a aj do klimatizacie auta ak je zapnuta. -
Len ty si nabijal zo 40% SOC, bateria sa nemala ako zohriat (prehriat) ako to bolo na Bjornovej verzii, kde nabijal od nizkeho SOC. Ten pokles nastal pretoze bateria bola v jeho pripade prehriata a nejaky senzor to vyhodnoil a preto poklesol vykon, po dochladeni sa vratil. Podla mna to nie je genericka krivka, zalezi od teploty bateria a okolia. -
Teplota baterie urcite hra rolu. Ako vies, ze bateria nebola zohriata rychlou jazdou predtym?
Teplota okolia nehra rolu pri nabijani ani trochu, iba prenesene cez vplyv na teplotu baterie ked auto stoji.. Mam vyzkusane, ze ked pridem z IPD do Auparku (priamo po obchvate), okrem tohto obdobia, ked je 30 a viac, vzdy zacinam nabijat iba nejakymi 50 kW. Bez ohladu na to ci pridem s 10% alebo 40%. Baterka je pri teplote pod 30 stupnov pre SC studena, aby TMS pustil plny vykon do nej.
Proste tymto bateriam je najlepsie v teplotach 30 - 40 stupnov, ci uz pri nabijani alebo vybijani. Ja mam vyrazne najmensu spotrebu ked je teplota vzduchu okolo 30 stupnov, napriek tomu, ze ide klimatizacia.
Mozem potvrdit informaciu od Tesly na ich web stanke tu: https://www.tesla.com/en_EU/models?redirect=no
Skroluj dolu k udajom o dojazde, zapni A/C a prepinaj teplotu okolia.Naposledy upravené Jiri GrandPa; 24-08-2018, 10:32. -
jeeff nabijal som realne uz od 25%, no zaznamenavat ma napadlo az od 40% Nechcel som sem davat nepresne cisla, no aj medzi 25 az 40% sa nabiajci vykon pohyboval medzi 105 a 110kW (raz som videl aj 111kW). Auto predtym nejazdilo moc rychle - len po meste, no vonku bolo aj nad 35 stupnov. Vnutri odstaveneho auta bolo aj nad 60 stupnov - nemal som zapnutu ochranu pred prehriatim interieru, takze myslim, ze bateria mohla mat urcite nad 35 stupnov, aj ked sa nejazdilo rychle, pretoze hned nabijala max vykonom. Ked je chladnejsie a nejazdilo sa predtym divoko, tak ako hovori Jiri GrandPa , zo zaciatku vzdy nabija mensim vykonom.
-
-
Neviem dat foto do komentara, pisem teda novy. V piatok som bol v HR (Sibenik), nabijal som na SC Sormas, kde som prisiel s 30% baterie (vyrazal som zo SC s 99%), zacalo ihned nabijat 116 kW. Je tam super restauracia, takze kym sme sa najedli, nabilo sa na 97% (trvalo to 66 minut, Otocac ukazovalo s dojazdom okolo 20%, presne si nepamatam), mohli sme tym padom preskocit SC Zagreb. Na SC Otocac sme dorazili s 13% a tam uz sa to vysplhalo na max 115kW, viac to nerastlo.
Od Sormas po Zagreb som isiela slusne (125-130), snazil som sa drzat stav % pre Otocac okolo 15%, po aktualizacii map ale uz aj auto rata dojazd velmi presne, takze netreba drzat aspon o 10% viac rezervu ako volakedy. Od Zagrebu som uz isiel 130, nasledne od Karlovac kde sa uvolnila cesta 140, kedze som videl, ze dojazd do Otocac je v pohode.
Kazdopadne, v Otocac som s 13% cakal vacsi nabijaci vykon ako 115kW (cakal som, ze sa vysplha aspon na tych 117-118), co sa nestalo, moz byt, ze uz bateria bola prilis tepla. Otocac som opustal so 70% a do Sibeniku dorazil so 16% (isiel som po dialnici 140).
Cela cesta Senec-Sibenik trvala 10 hodin (okrem zastavok na SC sme mali cik pauzu v madarsku na OMV pred odbockou na Sarvar), zial prvu hodinu nam trval prejazd cez Bratislavu (buracka na konci obchvatu na pristavnom moste). Kazdopadne vdaka prijemnemu obedu v Sormas bola cesta velmi prijemna, prakticky bez zapch a zdrzani na hraniciach. Cez https://abetterrouteplanner.com vychadza tato varianta s dlhym obedom v Sormas na 8:48, co zodpoveda mojmu casu s jednou dalsou cik pauzou a zdrzanim v BA.
2 FotkyNaposledy upravené jeeff; 26-08-2018, 10:57.Komentár
-
Kazdopadne, porovnaval som este cas nabijania, ktory ukazuje https://abetterrouteplanner.com vs co bola realita a nabijalo sa v oboch pripadoch dlhsie. ABP mi pise Sormas z 29% na 100% za 62 minut, realne som isiel z 30% na 97% za 66 minut, Otocac pise z 11% na 69% za 28 minut, realne som isiel z 13% na 71% za 35 minut.
Co je ale super je fakt, ze teraz navigacia skurtocne pomerne dobre rata odhad zostatku % v cieli, takze sa na to da spolahnut a nemusim si robit rezervu, nabijacie casy sa dali v pohode dosiahnut ako pise https://abetterrouteplanner.com a bol by som bez problemov dosiel.
-
Komentár